A.99%医学参考值范围 B.95%医学参考值范围 C.99%总体均数置信区间 D.95%总体均数置信区间 E.以上都不是

作者: tihaiku 人气: - 评论: 0
问题
选项 A.99%医学参考值范围 B.95%医学参考值范围 C.99%总体均数置信区间 D.95%总体均数置信区间 E.以上都不是
答案 D
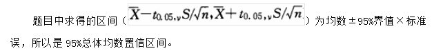
解析

相关内容:医学,参考,范围,总体,区间,不是

猜你喜欢

发表评论
更多 网友评论0 条评论)
暂无评论

访问排行

Copyright © 2012-2014 恰考网 Inc. 保留所有权利。 Powered by tikuer.com

页面耗时0.0407秒, 内存占用1.04 MB, Cache:redis,访问数据库19次