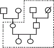
图中虚线内的人所组成的家庭属于 A.核心家庭 B.主干家庭 C.联合家庭 D.传统家庭 E.混合家庭

作者: tihaiku 人气: - 评论: 0
问题 图中虚线内的人所组成的家庭属于
选项 A.核心家庭 B.主干家庭 C.联合家庭 D.传统家庭 E.混合家庭
答案 B
解析 主干家庭:由一对已婚子女同其父母、未婚子女或未婚兄弟姐妹构成的家庭。故选B。

相关内容:图中,虚线,人所,家庭,主干,传统,混合

猜你喜欢

发表评论
更多 网友评论0 条评论)
暂无评论

访问排行

Copyright © 2012-2014 恰考网 Inc. 保留所有权利。 Powered by tikuer.com

页面耗时0.0325秒, 内存占用1.05 MB, Cache:redis,访问数据库19次