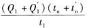
已知某车间报告期内工时消耗及产品产量的统计资料如下: 合格品(Q1)9000件,非因员工过失而造成的废品(Q1')150件。基本定额(tn')2.0...

作者: rantiku 人气: - 评论: 0
问题 已知某车间报告期内工时消耗及产品产量的统计资料如下: 合格品(Q1)9000件,非因员工过失而造成的废品(Q1')150件。基本定额(tn')2.0小时, 追加定额(tn)0.5小时。实耗工时总数(t1)18000小时。 试计算生产工人劳动定额完成程度指标和企业劳动定额完成程度指标。
选项
答案
解析 由题意,生产工人劳动定额完成程度指标= =22875/18000=127. 1%。 企业劳动定额完成程度指标=Q1tn/t1=18000/18000=100.0%

猜你喜欢

发表评论
更多 网友评论0 条评论)
暂无评论

访问排行

Copyright © 2012-2014 恰考网 Inc. 保留所有权利。 Powered by tikuer.com

页面耗时0.0846秒, 内存占用1.03 MB, Cache:redis,访问数据库13次