某单位职员在健身活动中举行乒乓球比赛,每个选手都要和其他选手各赛一场,一共120场比赛,则该单位参加人数是( )人。 A.18 B.16 C.15...

作者: rantiku 人气: - 评论: 0
问题 某单位职员在健身活动中举行乒乓球比赛,每个选手都要和其他选手各赛一场,一共120场比赛,则该单位参加人数是( )人。 A.18 B.16 C.15 D.14
选项
答案 B
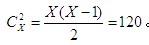
解析 本题考查的是排列组合知识。假设总共有X人,因为每两个人要进行一场比赛,所以应该用组合公式: 。此时利用代入排除法,只有X=16时满足条件。故正确答案为B。

猜你喜欢

发表评论
更多 网友评论0 条评论)
暂无评论

访问排行

Copyright © 2012-2014 恰考网 Inc. 保留所有权利。 Powered by tikuer.com

页面耗时0.0614秒, 内存占用1.03 MB, Cache:redis,访问数据库14次