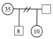
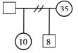
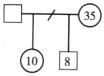
阿丽今年35岁,因性格不合,与丈夫离婚。目前,她一个人带着8岁的儿子在城市打工,把10岁的女儿留给了丈夫。根据上述案例介绍,社会工作者绘制的家庭结构图中正...

作者: tihaiku 人气: - 评论: 0
问题 阿丽今年35岁,因性格不合,与丈夫离婚。目前,她一个人带着8岁的儿子在城市打工,把10岁的女儿留给了丈夫。根据上述案例介绍,社会工作者绘制的家庭结构图中正确的是()。
选项 A: B: C: D:
答案 A
解析

相关内容:阿丽,今年,性格,丈夫,儿子,城市,女儿,根据,案例,社会工作者,家庭,结构图

猜你喜欢

发表评论
更多 网友评论0 条评论)
暂无评论

访问排行

Copyright © 2012-2014 恰考网 Inc. 保留所有权利。 Powered by tikuer.com

页面耗时0.0378秒, 内存占用1.05 MB, Cache:redis,访问数据库19次