小雨和弟弟进行百米赛跑,小雨比弟弟跑得快,如果两人同时 起跑,小雨肯定赢。现在小雨让弟弟先跑若干米,图中l 1、l 2分 别表示两人的路程与小雨追赶弟...

作者: rantiku 人气: - 评论: 0
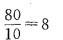
问题 小雨和弟弟进行百米赛跑,小雨比弟弟跑得快,如果两人同时 起跑,小雨肯定赢。 现在小雨让弟弟先跑若干米,图中l 1、l 2分 别表示两人的路程与小雨追赶弟弟的时间的关系, 由图中信息 可知,下列结论中正确的是( )。 A.小雨先到达终点 B.弟弟先跑了1O米 C.弟弟的速度是10米/秒 D.弟弟的速度是8米/秒
选项
答案 D
解析 由图可知,弟弟先跑了 20米后,小雨才开始跑;在第10秒的时候,两人同时到达百米终点。所以,在10秒内,弟弟跑了 100 —20==80(米),所以,弟弟的速度是 (米/秒),D项正确。

猜你喜欢

发表评论
更多 网友评论0 条评论)
暂无评论
错误啦!

错误信息

  • 消息: [程序异常] : MISCONF Redis is configured to save RDB snapshots, but it's currently unable to persist to disk. Commands that may modify the data set are disabled, because this instance is configured to report errors during writes if RDB snapshotting fails (stop-writes-on-bgsave-error option). Please check the Redis logs for details about the RDB error.
  • 文件: /twcms/kongphp/cache/cache_redis.class.php
  • 位置: 第 85 行
    <?php echo 'KongPHP, Road to Jane.'; ?>