根据B市住户抽样调查显示,1985年户籍居民人均可支配收入为1915元,到1994年,户 籍居民人均可支配收入首次突破万元大关,达10503元,九年间年均...

作者: rantiku 人气: - 评论: 0
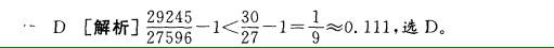
问题 根据B市住户抽样调查显示,1985年户籍居民人均可支配收入为1915元,到1994年,户 籍居民人均可支配收入首次突破万元大关,达10503元,九年间年均增长20. 8%。随后又经 过了六年时间,至2000年,户籍居民人均可支配收入为20906元,六年间年均增长12. 2% 至2004年户籍居民人均可支配收人达到27596元,比1985年增长13. 4倍,年均增长15. 1%, 扣除价格因素,实际年均增长7. 0%。2009年该市户籍居民人均可支配收人达到29245元,比 2005 年增长了 36. 1%。 与五年前相比,2009年户籍居民人均可支配收人约增长了( ).。 A. 36. 1% B. 20. 8%C. 15. 1% D. 6. 0%
选项
答案 D
解析

猜你喜欢

发表评论
更多 网友评论0 条评论)
暂无评论

访问排行

Copyright © 2012-2014 恰考网 Inc. 保留所有权利。 Powered by tikuer.com

页面耗时0.0736秒, 内存占用1.03 MB, Cache:redis,访问数据库13次