2012年1一11月份,全国民间固定资产投资201624亿元,同比增长25%。民间固定资产投资占固定资产投资的比重为61.8%,比1一10月份下降0....

作者: rantiku 人气: - 评论: 0
问题 2012年1一11月份,全国民间固定资产投资201624亿元,同比增长25%。民间固定资产投资占固定资产投资的比重为61.8%,比1一10月份下降0.1个百分点。 分地区看,东部地区民间固定资产投资99138亿元,比去年同期增长21.7%,增速比1一10月份回落0.1个百分点;中部地区民间固定资产投资61852亿元,增长28.1%,增速与1一10月份持平;西部地区民间固定资产投资40634亿元,增长28.9%,增速比1一10月份回落0.6个百分点。 第二产业中,工业民间固定资产投资103986亿元,比去年同期增长27.1%,增速比1一10月份回落0.7个百分点,其中:采矿业6409亿元,增长20.1%,增速回落3个百分点;制造业93347亿元,增长27.8%,增速回落0. 4个百分点;电力、热力、燃气及水的生产和供应业4230亿元,增长25%,增速回落1.2个百分点。 2011年,前十一个月,东部地区民间固定资产投资占全国民间固定资产投资的比重为( )。 A. 40.8% B. 44% C. 49% D. 51%
选项
答案 D
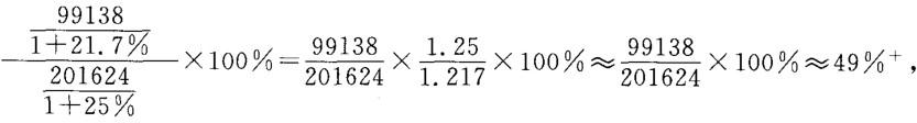
解析 由“2012年1—11月份,全国民间固定资产投资201624亿元,同比增长 25%”和“分地区看,东部地区民间固定资产投资99138亿元,比去年同期增长21.7%”可知, 2011年,前十一个月,东部地区民间固定资产投资占全国民间固定资产投资的比重为: 计算过程中利用估算法与直除法只需计算出结果的前两位,就可以排除A、B、C项。

猜你喜欢

发表评论
更多 网友评论0 条评论)
暂无评论

访问排行

Copyright © 2012-2014 恰考网 Inc. 保留所有权利。 Powered by tikuer.com

页面耗时0.0423秒, 内存占用1.04 MB, Cache:redis,访问数据库20次