根据经济订货批量的基本模型,下列各项中,可能导致经济订货批量提高的是( )。A、每期对存货的总需求降低 B、每次订货费用降低 C、每期单位存货存储费降...

作者: tihaiku 人气: - 评论: 0
问题 根据经济订货批量的基本模型,下列各项中,可能导致经济订货批量提高的是( )。
选项 A、每期对存货的总需求降低 B、每次订货费用降低 C、每期单位存货存储费降低 D、存货的采购单价降低
答案 C
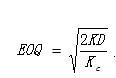
解析 根据经济订货批量的公式 只有选项C正确。

相关内容:根据,经济,订货,模型,可能,存货,费用,单位,存储,费降

猜你喜欢

发表评论
更多 网友评论0 条评论)
暂无评论

访问排行

Copyright © 2012-2014 恰考网 Inc. 保留所有权利。 Powered by tikuer.com

页面耗时0.0439秒, 内存占用1.04 MB, Cache:redis,访问数据库18次