某××省水力发电工程,总装机容量 200MW。在工程建设过程中发生如下事件: 事件 1:招标文件中有关投标人部分条款如下: (1)2017 年 3 月...

作者: tihaiku 人气: - 评论: 0
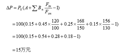
问题 某××省水力发电工程,总装机容量 200MW。在工程建设过程中发生如下事件: 事件 1:招标文件中有关投标人部分条款如下: (1)2017 年 3 月 6-9 日发售施工招标文件。投标截止日期为 2017 年 3 月 23 日上午9:00。 (2)招标文件设定投标最高限价为 3000 万元,最低限价 2000 万元。 (3)必须有水利水电工程施工总承包三级及以上企业资质,近 5 年至少有 2 项类似工程业绩,类似工程指合同额不低于 2500 万元的电站施工。 (4)招标人不统一组织现场踏勘工作,若投标人要求进行现场踏勘,可提前通知招标人,招标人将单独予以安排。但现场踏勘费用由投标人自行承担。 (5)拟担任的项目经理应为二级及以上水利水电工程专业注册建造师,具有有效的安全生产考核合格证,近 5 年至少有一项类似工程业绩。 (6)拟担任的项目经理、技术负责人、质量负责人、专职安全生产管理人员、财务负责人必须是本单位人员(须提供缴纳社会保险的证明):项目经理不得同时担任其他建设工程施工项目负责人;专职安全生产管理人员须具有有效的安全生产考核合格证。 (7)单位信誉良好,具有××省水利厅 A 级以上信用等级,且近 3 年在“信用中国”站 上不得有不良行为记录。 (8)投标单位及其法定代表人、拟任项目负责人无行贿犯罪档案,且财务状况良好。 (9)投标截止时间前撤回已提交的投标文件,投标保证金不予退还。某投标人以上述部分条款损害自身利益为由,在投标截止时间前第 7 天向行政监督部门提出异议。 事件 2:评标过程中,发生如下事件: (1)评标委员会认为投标人 A 的报价远远低于招标项目标底,属于投标价格低于成本情形,应予拒绝。 (2)评标委员会在对投标人 A 的投标报价进行合理性分析时,认为其投标报价偏低的原因主要是所需人、材、机的数量明显低于现行预算定额,应予拒绝。 (3)评标过程中,D 投标人以粗心大意为由,主动要求对投标文件中的工期进行更改, 评标委员会认可了此项更改。 事件 3:在项目实施过程中,合同中对因人工、材料和设备等价格波动因素对合同价的影响,按???=P0(A+∑BnFtn /Fon -1)调整。合同中规定的定值权重 A=0.15,可调值因子的变值 权重 Bn、基本价格指数 Ftn如表所示。在合同实施过程中,某结算月完成工程量,按工程量清单中单价计,金额为 100 万元;该月完成了监理工程师指令的工程变更,并经检验合格,由于工程量清单中没有与此工程变更相同或相近的项目,故根据实际情况协商结果,业主应支付变更项目金额为 5 万元;该月应支付材料预付款 10 万元;应扣保留金 5 万元。除此,无其它应扣或应支付款额。本月相应的各可调值因子的现行价格指数如下表所列。 施工单位按时提交了工程进度付款申请单。 事件 4:电站厂房土建工程结束后,施工单位机电设备、金属结构等进行安装,并注重质量检验工作。 问题: 1. 事件 1 中的哪些条款存在不妥?指出条款编号并说明理由。 2. 指出事件 1 中投标人异议的提出存在哪些不妥?说明正确做法。 3. 指出事件 2 中所列情形种,你认为评标委员会的做法或观点是否正确?为什么?说明理由。 4. 事件 3 中,计算价格调整差额?计算该月应支付给承包方的款额? 5. 事件 3 中,施工单位提交的进度付款申请单包含哪些内容? 6. 根据《水利水电工程施工质量检验与评定规程》SL176-2007,机电设备、金属结构在安装前,施工单位应做哪些方面的质量检验工作。
选项
答案
解析 1.(1) 2017 年 3 月 6-9 日发售施工招标文件不妥。 理由:发售施工招标文件不少于 5 日。 投标截止日期为 2017 年 3 月 23 日上午 9:00 不妥。 理由:从招标公告到投标截止最短时间间隔为 20 天。 (2)设定投标最低限价 2000 万元不妥; 理由:可以设定最高价,不能设定最低价。 (3)必须有水利水电工程施工总承包三级及以上企业资质不妥; 理由:因为本工程属于中型工程,需要总承包二级及以上。 (4)若投标人要求进行现场踏勘,可提前通知招标人,招标人将单独予以安不妥排。 理由:招标人不得单独或者分别组织任何一个投标人进行现场踏勘。 (7)具有××省水利厅 A 级以上信用等级不妥。 理由:施工企业信用等级批准单位有水利部和企业所在地省级水行政主管部门,此条款具有排他性。 (9)投标截止时间前撤回已提交的投标文件,投标保证金不予退还不妥。 理由:投标人撤回已提交的投标文件,应当在投标截止前书面通知招标人,招标人已收取投标保证金的,应当自收到投标人书面通知之日起 5 日内退还。 2. 在投标截止时间前第 7 天,向行政监督部门提出书面异议不妥; 理由:投标人对招标文件有异议的,应当在投标截止时间 10 日前向招标人提出,而非行政监督部门。 3.(1)评标委员会的观点不正确。根据招标投标法的原则:招标人设有标底的,标底只能作为分析投标报价合理性参考依据,但不能直接作为决定无效标的条件。 (2)评标委员会的观点不正确。现行预算定额可以作为编制标底和投标报价的参考依据,但决不是确定投标报价不可调整的标准。承包人的投标报价要综合考虑多种实际要素,如:承包人的技术与管理水平以及工程的工期要求、作业条件、质量标准高低等多种因素。 (3)评标委员会的做法不妥。 理由:投标人不得主动提出澄清、说明或补正。澄清、说明和补正不得改变投标文件的实质性内容(算术性错误修正的除外)。 工期更改属于实质性内容。 4.(1)价格调整差额 (2)该月应支付给承包方款项为: 工程量清单中项目调价后款额:100+15=115 万元; 工程变更项目按现行价格支付款额:5 万元; 材料预付款:10 万元; 总计 130 万元。 5. 施工单位提交的进度付款申请单包含以下内容: (1)截至本次付款周期末已实施工程的价款; (2)变更金额; (3)索赔金额; (4)应支付的预付款和扣减的返还预付款; (5)根据合同应增加和扣减的其他金额。 6. 水工金属结构,启闭机及机电产品进场后,有关单位应按有关合同进行交货检查和验收。安装前,施工单位应检查产品是否具有出厂合格证、设备安装说明书及有关技术文件,对在运输和存放过程中发生大的变形、受潮、损坏等问题应做好记录,并进行妥善处理。无出厂合格证或不符合质量标准的产品不得用于工程中。

相关内容:水力,电工程,装机容量,工程建设,如下,事件,招标,文件,有关,投标人,部分,条款

猜你喜欢

发表评论
更多 网友评论0 条评论)
暂无评论

访问排行

Copyright © 2012-2014 恰考网 Inc. 保留所有权利。 Powered by tikuer.com

页面耗时0.0487秒, 内存占用1.05 MB, Cache:redis,访问数据库17次