背景资料 某承包人根据《水利水电工程标准施工招标文件》(2009 版)与发包人签订某引水工程引水渠标段施工合同,合同约定: 合同工期 465 天, 2...

作者: tihaiku 人气: - 评论: 0
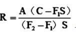
问题 背景资料 某承包人根据《水利水电工程标准施工招标文件》(2009 版)与发包人签订某引水工程引水渠标段施工合同,合同约定: 合同工期 465 天, 2015 年 10 月 1 日开工,签约合同价为 5800 万元,履约保证金兼具工程质量保证金功能,施工进度付款中不再预留质量保证金;工程预付款为签约合同价的10%,开工前分两次支付,工程预付款的扣回与还清按公式 计算; F1=20%;F2=90%;合同签订后发生如下事件: 事件 1:项目部要求编制了该工程的施工进度计划如图 2 所示,经监理人批准后,工程如期开工。 施工进度计划图(单位:天) 事件 2:承包人完成施工控制网测量后,按监理人指示开展了抽样复查,发现因发包人提供的某基准线不准确,造成与此相关的数据均超过允许误差标准,为此监理人指示承包人对发包人提供的基准点、基准线进行复测,并重新进行了施工控制网的测量,产生费用共计3 万元,增加工作时间 5 天;由于测量人员操作不当造成施工控制网数据异常,承包人进行了测量修整,修整费用 0.5 万元,增加工作时间 2 天。针对上述两种情况承包人提出了延长 工期和补偿费用的索赔要求。 事件 3:“土石方开挖及垫层 III”施工中遇到地质勘探未查明的软弱底层,承包人及时通知监理人。监理人会同参建各方进行现场调查后,把该事情界定为不利物质条件,要求承包人采取合理措施继续施工,承包人按要求完成地基处理,导致“土石方开挖及垫层 III”工作时间延长了 20 天,增加费用 8.5 万元,承包人据此提出了延长工期 20 天和增加费用 8.5万元的要求。 事件 4:截止 2016 年 10 月,承包人累计完成合同金额 4820 万元, 2016 年 11 月份监理人审核批准的合同金额 442 万元。 问题: 1. 指出事件 1 施工进度计划图的关键线路(用节点编号表示);“土石方开挖及垫层 III”工作的总时差。 2. 事件 2 中,承包人应获得的索赔有哪些?简要说明理由。 3. 事件 3 中,监理人收到承包人提出延长工期和增加费用的要求后,监理人按照什么处理程序办理?承包人的要求是否合理?简要说明理由。 4. 事件 4 中,计算 2016 年 11 月份的工程预付款扣回金额,承包人实得金额。(单位:万元,保留 2 位小数)
选项
答案
解析 1.关键线路: ①→②→③→④→⑥→⑦→⑧→⑨→?→? “土石方开挖及垫层 III”工作的总时差为 5 天。 2.(1)承包人应获得的索赔:发包人提供的基准线不准确造成的费用 3 万,工期 5 天; (2)理由:发包人应对其提供的基准点,基准线及水准点资料的真实性、完整性负责;发包人提供基准资料错误导致承包人测量放线工作的返工或造成工程损失的,发包人应当承担由此增加的费用。 由于该工作为关键工作,所以造成工期延误 5 天可索赔。 3.(1) 处理程序:监理人收到承包人提出延长工期和增加费用的要求后,监理人按照变更的约定办理。 (2)费用要求合理,工期要求不合理; (3)理由:不利物质条件承包人有权要求费用增加; 因“土石方开挖及垫层 III”工作的总时差为 5 天,延误时间 20 天超过 5 天,所以索赔工期 20-5=15 天; 4.工程预付款: 5800×10%=580 万元。 截止 10 月预付款扣回: R=580×(4820-20%×5800) /(90%-20%)×5800=522.86 万元 11 月: 4820+442=5262>5800×90% 故预付款的扣回: 580-522.86=57.14 万元; 承包人应得: 442-57.14=384.86 万元。

相关内容:背景,资料,承包人,根据,水利水电工程标准施工招标文件,引水,工程,引水渠,标段,施工,合同,约定,工期

猜你喜欢

发表评论
更多 网友评论0 条评论)
暂无评论
错误啦!

错误信息

  • 消息: [程序异常] : MISCONF Redis is configured to save RDB snapshots, but it's currently unable to persist to disk. Commands that may modify the data set are disabled, because this instance is configured to report errors during writes if RDB snapshotting fails (stop-writes-on-bgsave-error option). Please check the Redis logs for details about the RDB error.
  • 文件: /twcms/kongphp/cache/cache_redis.class.php
  • 位置: 第 85 行
    <?php echo 'KongPHP, Road to Jane.'; ?>