贴现现金流法的基础是现值原则,即在考虑资金的时间价值和风险的情况下,将预期发生在不同时点的现金流量,按既定的贴现率,统一折算为现值,再加总求得目标企业价值...

作者: tihaiku 人气: - 评论: 0
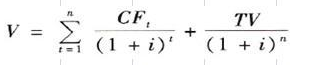
问题 贴现现金流法的基础是现值原则,即在考虑资金的时间价值和风险的情况下,将预期发生在不同时点的现金流量,按既定的贴现率,统一折算为现值,再加总求得目标企业价值。 用公式表示为:

其中:V为( );CF为( );TV为( );n为( );i为( )。
选项 A、目标企业价值,预期内第t年的自由现金流,现值,终期,贴现率 B、目标企业价值,预期内第t年的自由现金流,终值,预测期,贴现率 C、目标企业价值,预期内第t年的自由现金流,终值,终期,贴现率 D、目标企业价值,预期内第t年的自由现金流,现值,预测期,贴现率
答案 B
解析 贴现现金流法的基础是现值原则,即在考虑资金的时间价值和风险的情况下,将预期发生在不同时点的现金流量,按既定的贴现率,统一折算为现值,再加总求得目标企业价值。V为目标企业价值;CF,为预期内第t年的自由现金流;TV为终值;n为预测期;i为贴现率。

相关内容:贴现,现金流,基础,现值,原则,资金,时间,价值,风险,预期,时点,现金流量,按既,贴现率,统一,加总,目标,企业

猜你喜欢

发表评论
更多 网友评论0 条评论)
暂无评论

访问排行

Copyright © 2012-2014 恰考网 Inc. 保留所有权利。 Powered by tikuer.com

页面耗时0.0683秒, 内存占用1.05 MB, Cache:redis,访问数据库18次