雌、雄果蝇体细胞的染色体组成如图5中甲、乙所示,其中X、Y、Ⅱ、Ⅲ、Ⅳ表示不同的染色体,果蝇的红眼(D)和白眼(d)是一对相对性状,基因D、d位于X染色体...

作者: rantiku 人气: - 评论: 0
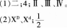
问题 雌、雄果蝇体细胞的染色体组成如图5中甲、乙所示,其中X、Y、Ⅱ、Ⅲ、Ⅳ表示不同的染色体,果蝇的红眼(D)和白眼(d)是一对相对性状,基因D、d位于X染色体上,回答问题: (1)据图判断,果蝇为__________倍体生物,每个染色体组含有__________条染色体,其中属于常染色体的是__________。(用图中的染色体标号作答)(9分) (2)若只考虑基因D、d的遗传,图中雌果蝇产生的配子基因型是__________,雄果蝇产生含Y染色体的配子比例为__________。(6分)
选项
答案
解析

猜你喜欢

发表评论
更多 网友评论0 条评论)
暂无评论

访问排行

Copyright © 2012-2014 恰考网 Inc. 保留所有权利。 Powered by tikuer.com

页面耗时0.0358秒, 内存占用1.03 MB, Cache:redis,访问数据库16次