某年级的学生最胖的是49千克,最瘦的是23千克(按整千克计算)。如果从该年级学生 中任选若干人,那么至少选( )人才能保证有6人的体重相同。A. 98...

作者: rantiku 人气: - 评论: 0
问题 某年级的学生最胖的是49千克,最瘦的是23千克(按整千克计算)。如果从该年级学生 中任选若干人,那么至少选( )人才能保证有6人的体重相同。 A. 98 B. 108 C. 136 D. 142
选项
答案 C
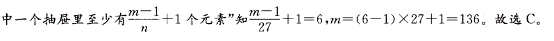
解析 该年级学生的不同体重数有49 —23 + 1 = 27(种),将27种体重数视为27个 抽屉,5人为每个抽屉中的元素,求总的元素数,由抽屉原理“将m个元素放入n个抽屉,则在其

猜你喜欢

发表评论
更多 网友评论0 条评论)
暂无评论

访问排行

Copyright © 2012-2014 恰考网 Inc. 保留所有权利。 Powered by tikuer.com

页面耗时0.0423秒, 内存占用1.03 MB, Cache:redis,访问数据库17次