7月份,房地产开发景气指数(简称“国房景气指数”)为94. 57,比上月回落0. 14点。2011年1 — 7月,中部地区商品房销售价...

作者: rantiku 人气: - 评论: 0
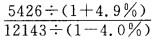
问题 7月份,房地产开发景气指数(简称“国房景气指数”)为94. 57,比上月回落0. 14点。 2011年1 — 7月,中部地区商品房销售价格是( )。 A. 4. 1万元/平方米 B. 0. 4089亿元/万平方米 C. 4. 4万元/平方米 D. 0.4711亿元/万平方米
选项
答案 B
解析 2011年1—7月,中部地区商品房销售价格为≈0. 4089(亿元/万平方米)=0. 4089(万元/平方米)。

猜你喜欢

发表评论
更多 网友评论0 条评论)
暂无评论

访问排行

Copyright © 2012-2014 恰考网 Inc. 保留所有权利。 Powered by tikuer.com

页面耗时0.0606秒, 内存占用1.03 MB, Cache:redis,访问数据库19次