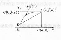
A、曲边梯形ABOD的面积 B、梯形ABOD的面积 C、曲边三角形ACD的面积 D、三角形ACD的面积

作者: rantiku 人气: - 评论: 0
问题
选项 A、曲边梯形ABOD的面积 B、梯形ABOD的面积 C、曲边三角形ACD的面积 D、三角形ACD的面积
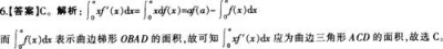
答案 C
解析

猜你喜欢

发表评论
更多 网友评论0 条评论)
暂无评论

Copyright © 2012-2014 恰考网 Inc. 保留所有权利。 Powered by tikuer.com

页面耗时0.0301秒, 内存占用1.02 MB, Cache:redis,访问数据库20次