样本(x1,x2.,xn)的平均数为x,样本(y1,y2,…,ym)的平均数为的平均数其中.则n,m的大小关系为( )。A、nm C、n=m D...

作者: rantiku 人气: - 评论: 0
问题 样本(x1,x2.,xn)的平均数为x,样本(y1,y2,…,ym)的平均数为的平均数其中.则n,m的大小关系为( )。
选项 A、nm C、n=m D、不能确定
答案 A
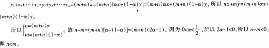
解析

猜你喜欢

发表评论
更多 网友评论0 条评论)
暂无评论

Copyright © 2012-2014 恰考网 Inc. 保留所有权利。 Powered by tikuer.com

页面耗时0.0447秒, 内存占用1.03 MB, Cache:redis,访问数据库18次