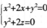
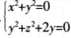
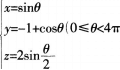
在空间直角坐标系中,由参数方程 1 7确定的曲线的一般方程是( )。A. B. C. D.

作者: rantiku 人气: - 评论: 0
问题 在空间直角坐标系中,由参数方程 1 7确定的曲线的一般方程是( )。
选项 A. B. C. D.
答案 C
解析

猜你喜欢

发表评论
更多 网友评论0 条评论)
暂无评论

Copyright © 2012-2014 恰考网 Inc. 保留所有权利。 Powered by tikuer.com

页面耗时0.0319秒, 内存占用1.03 MB, Cache:redis,访问数据库18次