(1)求F(x)所满足的一阶微分方程; (2)求出F(x)的表达式。

作者: rantiku 人气: - 评论: 0
问题 (1)求F(x)所满足的一阶微分方程; (2)求出F(x)的表达式。
选项
答案
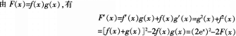
解析 题目要求F(x)所满足的微分方程,而微分方程中含有其导函数,自然想到对F(x)求导,并将其余部分转化为用F(x)表示,导出相应的微分方程,然后再求解相应的微分方程即可。 (1) (2)由题(1)得到F(x)所满足的一阶微分方程,求,(x)的表达式只需解一阶微分方程。又一阶线性非齐次

猜你喜欢

发表评论
更多 网友评论0 条评论)
暂无评论

Copyright © 2012-2014 恰考网 Inc. 保留所有权利。 Powered by tikuer.com

页面耗时0.0434秒, 内存占用1.03 MB, Cache:redis,访问数据库17次