案例:某教师在进行二次根式教学时,给学生出了如下一道练习题: 已知方程x2+3x+1=0的两个根分别为,α,β 某学生的解答过程如下:问题: (1)指出该...

作者: rantiku 人气: - 评论: 0
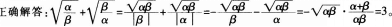
问题 案例:某教师在进行二次根式教学时,给学生出了如下一道练习题: 已知方程x2+3x+1=0的两个根分别为,α,β 某学生的解答过程如下:问题: (1)指出该生解题过程中的错误,分析其错误原因; (2)给出你的正确解答; (3)指出你解题所运用的数学思想方法。
选项
答案
解析 (1)错解分析 (2). (3)解题所运用的是化归思想。

猜你喜欢

发表评论
更多 网友评论0 条评论)
暂无评论

Copyright © 2012-2014 恰考网 Inc. 保留所有权利。 Powered by tikuer.com

页面耗时0.0328秒, 内存占用1.01 MB, Cache:redis,访问数据库16次