设二次函数方程的两个根X1,X2满足 (1)当x∈(0,xl)时,证明x

作者: rantiku 人气: - 评论: 0
问题 设二次函数方程的两个根X1,X2满足 (1)当x∈(0,xl)时,证明x
选项
答案
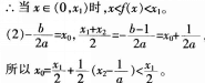
解析 (1)

猜你喜欢

发表评论
更多 网友评论0 条评论)
暂无评论

Copyright © 2012-2014 恰考网 Inc. 保留所有权利。 Powered by tikuer.com

页面耗时0.0326秒, 内存占用1.03 MB, Cache:redis,访问数据库19次