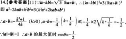
已知向量a,b,满足|a|=|b|=1,且|a-kb|=√3|ka+b|,其中k>0。 (1)试用k表示a b,并求出a b的最大值及此时a与b的夹角...

作者: rantiku 人气: - 评论: 0
问题 已知向量a,b,满足|a|=|b|=1,且|a-kb|=√3|ka+b|,其中k>0。 (1)试用k表示a b,并求出a b的最大值及此时a与b的夹角θ的值: (2)当a b取得最大值时,求实数
选项 A,使|a+λb|的值最小,并对这一结论作出几何解释。
答案
解析

猜你喜欢

发表评论
更多 网友评论0 条评论)
暂无评论

Copyright © 2012-2014 恰考网 Inc. 保留所有权利。 Powered by tikuer.com

页面耗时0.0274秒, 内存占用1.03 MB, Cache:redis,访问数据库18次