已知变换矩阵则A将空间曲面(x一1)2+(y一2)2=-4变成( )。A、圆 B、椭圆 C、抛物线 D、双曲线

作者: rantiku 人气: - 评论: 0
问题 已知变换矩阵则A将空间曲面(x一1)2+(y一2)2=-4变成( )。
选项 A、圆 B、椭圆 C、抛物线 D、双曲线
答案 B
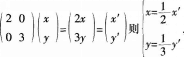
解析 设曲面经矩阵A变化后为故其方程为

猜你喜欢

发表评论
更多 网友评论0 条评论)
暂无评论

Copyright © 2012-2014 恰考网 Inc. 保留所有权利。 Powered by tikuer.com

页面耗时0.0408秒, 内存占用1.03 MB, Cache:redis,访问数据库17次