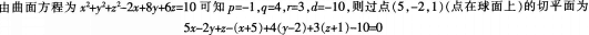
已知曲面方程为x-yZ+z2-2x+8y+6z=10,则过点(5,-2.1)的切平面方程为( )。A、2x+3y+2z=0 B、2x+y+2z=lO ...

作者: rantiku 人气: - 评论: 0
问题 已知曲面方程为x-yZ+z2-2x+8y+6z=10,则过点(5,-2.1)的切平面方程为( )。
选项 A、2x+3y+2z=0 B、2x+y+2z=lO C、x-2y+6z=15 D、x-2y+6z=0
答案 B
解析

猜你喜欢

发表评论
更多 网友评论0 条评论)
暂无评论

Copyright © 2012-2014 恰考网 Inc. 保留所有权利。 Powered by tikuer.com

页面耗时0.0342秒, 内存占用1.01 MB, Cache:redis,访问数据库17次