“基本不等式”是高中数学教学中的重要内容,请完成下列任务: (1)在“基本不等式”起始课的“教学重点”设计中,有两种方案: ①强调基本不等式在...

作者: rantiku 人气: - 评论: 0
问题 “基本不等式”是高中数学教学中的重要内容,请完成下列任务: (1)在“基本不等式”起始课的“教学重点”设计中,有两种方案: ①强调基本不等式在求数值中的应用,将基本不等式的应用作为重点。 ②强调基本不等式的背景,过程与意义,将学生感受和体验“基本不等式”中“基本”的意义作为教学重点。你赞同哪种方案 简述理由。(10分) (2) (3)为了让高中生充分认识“基本不等式”中“基本”的意义,作为教师应该对此有多个维度的理解.请至少从两个维度谈谈你对“基本”意义的认识。(10分)
选项
答案
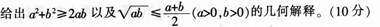
解析 (1)我更赞同第二种方案,理由如下: ①本节课定位为“基本不等式”的起始课,它是在学生已经系统地学习了不等式关系和不等式性质.掌握了不等式性质的基础上进行教学的。学生对于“基本不等式”还处于初步感知阶段,不能一步就理解如何实现基本不等式在求解简单最大(小)值当中的应用,因此,在“基本不等式”的起始课当中,应当先让学生结合基本不等式的背景和意义进行自主探索,了解不等式的证明过程,加深印象及存在原因后再学习应用会更好。 因此,从这三点来看,基本不等式的起始课的教学重点应该采用第二种方案,即强调基本不等式的背景、过程及意义,将学生感受和体验“基本不等式”中“基本”的意义作为教学重点。 (2)a2+b2≥2ab的几何解释是:大正方形的面积大于四个三角形的面积和,当且仅当a=b时,等号成立(即正方形的对角线将正方形分成4个等腰直角三角形,正方形的面积等于四个等腰三角形的面积和)。(如图所示)认识“基本”二字,是学习基本不等式这一节内容的前提,事实上,该不等式反映了实数的两种基本运算(即加法和乘法)所引出的大小变化,这一本质不仅反映在其代数结构上,而且也有几何意义,由此而生发出的问题在训练学生的代数推理能力和几何直观能力上都发挥了良好的作用。因此,必须从基本不等式的代数结构和几何意义两方面人手,才能让学生深刻理解它的本质。

猜你喜欢

发表评论
更多 网友评论0 条评论)
暂无评论

Copyright © 2012-2014 恰考网 Inc. 保留所有权利。 Powered by tikuer.com

页面耗时0.0332秒, 内存占用1.04 MB, Cache:redis,访问数据库18次