案例: 下面是某位同学用开方法解方程的过程。 问题: (1)该同学的解题过程哪步错了 分析其原因。(8分) (2)针对该生情况.请...

作者: rantiku 人气: - 评论: 0
问题 案例: 下面是某位同学用开方法解方程的过程。 问题: (1)该同学的解题过程哪步错了 分析其原因。(8分) (2)针对该生情况.请你设计一个辅导教学片段(可以为师生问答形式),并说明设计意图。 (8分) (3)除了开方法外,本题还可以用哪些方法解答(至少列举两种) (4分)
选项
答案
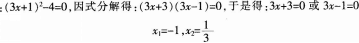
解析 (1)该同学在开平方3x+1=2这一步出现了错误.原因是对平方根的概念没有掌握:其次在最后得出根z=1/3这一步也出现了错误,原因是对一元二次方程根的个数及写法没有掌握。 (2)师:32= (-3)2= 生:9 师:根据平方根的定义。9的平方根为多少 生:3 师:a(a≥0)的平方根为多少 师:非常好。步骤也很完整。以后注意细节,继续努力。(由易到难,由浅入深,让学生能运用开平方法解方程) 在整个辅导教学片段中,通过师生问答形式,根据学生已有的知识提出问题,启发学生反思自己做题中的错误以及错误的原因所在,帮助学生真正领悟开平方法解方程的正确解题方法,并通过巩固练习的方式,一步一步,由易到难,由具体到抽象促进能力的提高。 (3)①公式法: ②因式分解法

猜你喜欢

发表评论
更多 网友评论0 条评论)
暂无评论

Copyright © 2012-2014 恰考网 Inc. 保留所有权利。 Powered by tikuer.com

页面耗时0.0339秒, 内存占用1.03 MB, Cache:redis,访问数据库17次