袋子中有70个红球,30个黑球,从袋子中连续摸球两次,每次摸一个球,且第一次摸出的球,不放回袋中: (1)求两次摸球均为红球的概率: (2)若...

作者: rantiku 人气: - 评论: 0
问题 袋子中有70个红球,30个黑球,从袋子中连续摸球两次,每次摸一个球,且第一次摸出的球,不放回袋中: (1)求两次摸球均为红球的概率: (2)若第一次摸到红球,求第二次摸到黑球的概率。
选项
答案
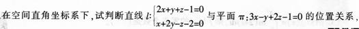
解析 平面π的法向量为n=(3,-1,2);

猜你喜欢

发表评论
更多 网友评论0 条评论)
暂无评论

Copyright © 2012-2014 恰考网 Inc. 保留所有权利。 Powered by tikuer.com

页面耗时0.0333秒, 内存占用1.03 MB, Cache:redis,访问数据库17次