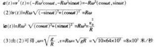
设质点作匀速圆周运动,其轨迹为r (t)=(χ(t),y(t)),其中χ(t)=Rcosωt,y(t)=Rsinωt,速度和加速度分别定义为v(t)=(χ...

作者: rantiku 人气: - 评论: 0
问题 设质点作匀速圆周运动,其轨迹为r (t)=(χ(t),y(t)),其中χ(t)=Rcosωt,y(t)=Rsinωt,速度和加速度分别定义为v(t)=(χ′(t),y′(t)),和a(t)=(χ(t),y (t))。 (1)求v(t)和a(t);(4分) (3)若一飞行器绕地球作匀速圆周运动且只受重力作用(高度可忽略不计),求其飞行速度的大小(设地球半径为6400千米,重力加速度为g=10米/秒2)。(3分)
选项
答案
解析

猜你喜欢

发表评论
更多 网友评论0 条评论)
暂无评论

Copyright © 2012-2014 恰考网 Inc. 保留所有权利。 Powered by tikuer.com

页面耗时0.0390秒, 内存占用1.03 MB, Cache:redis,访问数据库17次