已知椭圆C的中心在原点,焦点F1.F2在x轴上且经过点 (1)求椭圆C的方程; (2)如图所示,若直线Z经过椭圆C的右焦点F2且与椭圆C交于A,...

作者: rantiku 人气: - 评论: 0
问题 已知椭圆C的中心在原点,焦点F1.F2在x轴上且经过点 (1)求椭圆C的方程; (2)如图所示,若直线Z经过椭圆C的右焦点F2且与椭圆C交于
选项 A,B两点,使得求直线l的方程。
答案
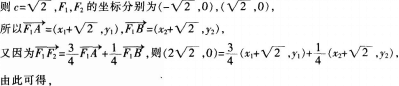
解析 (1) (2)

猜你喜欢

发表评论
更多 网友评论0 条评论)
暂无评论

Copyright © 2012-2014 恰考网 Inc. 保留所有权利。 Powered by tikuer.com

页面耗时0.0431秒, 内存占用1.03 MB, Cache:redis,访问数据库14次