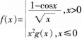
设其中g(x)是有界函数,则f(x)在x=0点( )。A、极限不存在 B、极限存在但不连续 C、连续、但不可导 D、可导

作者: tihaiku 人气: - 评论: 0
问题其中g(x)是有界函数,则f(x)在x=0点( )。
选项 A、极限不存在 B、极限存在但不连续 C、连续、但不可导 D、可导
答案 D
解析

猜你喜欢

发表评论
更多 网友评论0 条评论)
暂无评论

Copyright © 2012-2014 恰考网 Inc. 保留所有权利。 Powered by tikuer.com

页面耗时0.0444秒, 内存占用1.03 MB, Cache:redis,访问数据库17次