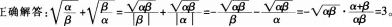
案例:某教师在进行二次根式教学时,给学生出了如下一道练习题: 已知方程x2+3x+1=0的两个根分别为,α,β 某学生的解答过程如下:问题: (1)指出该...
相关内容:案例,教师,根式,学时,学生,如下,一道,练习题,方程,x2+3x+1,两个,某学,解答,过程,问题
- 根据提供的信息和语言素材设计教学方案。用英文作答。
设计任务!请阅读下面学生信息和语言素材,设计一节课的教学方案。教案没有固定格
式.但须包含下列要点...
- 某位教师设计了高中数学必修内容“分层抽样”的教学目标为:
①通过实例,了解分层抽样的特点、适用范围及分层抽样的必要性,掌握分层抽样的操作步骤:
②体会...
- 数学的产生与发展过程蕴含着丰富的数学文化。
(1)以“导数及其应用”教学为例,说明在数学教学中如何渗透数学文化;
(2)阐述数学文化对学生数学学习的作用。
- 下列关于椭圆的论述,正确的是()。
①平面内到两个定点的距离之和等于常数的动点轨迹是椭圆
②平面内到定直线和直线外的定点距离之比为大于1的常数的动点轨...
-
教师发现两位学生板演的内容与自己预设的内容不一致。
问题:
(1)你如何评价这两位学生的解题过程。
(2)假如你是该教师,针对学生板演的情况...
- 叙述“严谨性与量力性相结合”数学教学原则的内涵,并以“是无理数”的教学过程为例,说明在教学中如何体现该教学原则。
- 一条光线斜射在一水平放置的平面镜上,入射角为α(0<α,π/2),请建立空间直角坐标系,并求出反射光线的方程。若将反射光线绕平面镜的法线旋转一周,求所得的...
- 王强是一位快递员,他负责由A地到B地的送货任务,送货方式为开汽车或骑电动车。他分别记录了开汽车和骑电动车各100次所用的送货时间,经过数据分析得到如下结果...
- 在某次测试中,用所有参加测试学生某题的平均分除以该题分值,得到的结果时( )A.区分度
B.难度
C.信度
D.效度
- 案例:在“三角函数求值”的教学中,教师给出了如下的问题。
教师发现两位学生板演的内容与自己预设的内容不一致。
问题:(1)你如何评价这两位学生的解...