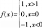
函数x=0点( )。A、极限存在,且等于O B、左、右极限存在,但极限不存在 C、左极限存在,但右极限不存在 D、左极限不存在,但右极限存在

作者: tihaiku 人气: - 评论: 0
问题 函数x=0点( )。
选项 A、极限存在,且等于O B、左、右极限存在,但极限不存在 C、左极限存在,但右极限不存在 D、左极限不存在,但右极限存在
答案 B
解析

相关内容:函数,极限

猜你喜欢

发表评论
更多 网友评论0 条评论)
暂无评论

Copyright © 2012-2014 恰考网 Inc. 保留所有权利。 Powered by tikuer.com

页面耗时0.0313秒, 内存占用1.04 MB, Cache:redis,访问数据库17次