已知曲面方程为χ2+y2+z2-2χ+8y+6z=10,则过点(5,-2,1)的切平面方程为( )。A、2χ+y+2z=0 B、2χ+y+2z=10 ...

作者: tihaiku 人气: - 评论: 0
问题 已知曲面方程为χ2+y2+z2-2χ+8y+6z=10,则过点(5,-2,1)的切平面方程为( )。
选项 A、2χ+y+2z=0 B、2χ+y+2z=10 C、χ-2y+6z=15 D、χ-2y+6z=0
答案 B
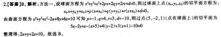
解析

相关内容:曲面,方程,2+y2+z2-2,+8y+6z,过点,平面

猜你喜欢

发表评论
更多 网友评论0 条评论)
暂无评论

Copyright © 2012-2014 恰考网 Inc. 保留所有权利。 Powered by tikuer.com

页面耗时0.0284秒, 内存占用1.03 MB, Cache:redis,访问数据库16次