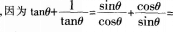
若( )。、A、1/5 B、1/4 C、1/3 D、1/2

作者: tihaiku 人气: - 评论: 0
问题( )。、
选项 A、1/5 B、1/4 C、1/3 D、1/2
答案 D
解析 本题考查三角恒等变形式以及转化与化归的数学思想

猜你喜欢

发表评论
更多 网友评论0 条评论)
暂无评论

Copyright © 2012-2014 恰考网 Inc. 保留所有权利。 Powered by tikuer.com

页面耗时0.0409秒, 内存占用1.03 MB, Cache:redis,访问数据库16次