在ABC中,已知A,B,C对应的边分别为a,b,c,且 (1)求cosC和cosB的值: (2)当时,求a,b,c的值。

作者: tihaiku 人气: - 评论: 0
问题 在ABC中,已知A,B,C对应的边分别为a,b,c,且 (1)求cosC和cosB的值: (2)当时,求a,b,c的值。
选项
答案
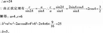
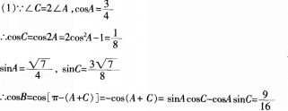
解析 (2)

猜你喜欢

发表评论
更多 网友评论0 条评论)
暂无评论

Copyright © 2012-2014 恰考网 Inc. 保留所有权利。 Powered by tikuer.com

页面耗时0.0258秒, 内存占用1.04 MB, Cache:redis,访问数据库18次