案例:某教师在进行二元一次方程教学时,给学生出了如下一道练习题: 已知a,b是方程x2+(k—1)+k+l=0的两个根且a,b是莱直角三角形的两条直角...

作者: tihaiku 人气: - 评论: 0
问题 案例:某教师在进行二元一次方程教学时,给学生出了如下一道练习题: 已知a,b是方程x2+(k—1)+k+l=0的两个根且a,b是莱直角三角形的两条直角边,其斜边等于1,求k的值。 某学生的解答过程如下: 问题: (1)指出该生解题过程中的错误,分析其错误原因; (2)给出你的正确解答; (3)指出你解题所运用的数学思想方法。
选项
答案
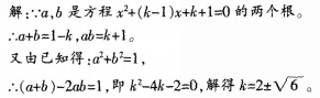
解析 (1)错解分析:该生在解题过程中忽视了题目中的隐含条件,即a,b是某直角三角形的两条直角边,故必有 (3)在解题过程中运用了分类讨论的思想。

相关内容:案例,教师,一次方程,学时,学生,如下,一道,练习题,方程,两个,根且,直角,三角

猜你喜欢

发表评论
更多 网友评论0 条评论)
暂无评论

Copyright © 2012-2014 恰考网 Inc. 保留所有权利。 Powered by tikuer.com

页面耗时0.0445秒, 内存占用1.05 MB, Cache:redis,访问数据库18次