设f(x)为不恒等于零的奇函数,且厂(0)存在,则函数()。A、在x=0处左极限不存在 B、有跳跃间断点x=0 C、在x=0处右极限不存在 D、有可...

作者: tihaiku 人气: - 评论: 0
问题 设f(x)为不恒等于零的奇函数,且厂(0)存在,则函数()。
选项 A、在x=0处左极限不存在 B、有跳跃间断点x=0 C、在x=0处右极限不存在 D、有可去间断点x=0
答案 D
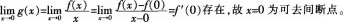
解析

相关内容:不恒,函数,且厂,极限,断点

猜你喜欢

发表评论
更多 网友评论0 条评论)
暂无评论

Copyright © 2012-2014 恰考网 Inc. 保留所有权利。 Powered by tikuer.com

页面耗时0.0343秒, 内存占用1.04 MB, Cache:redis,访问数据库17次