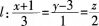
试求通过点Mo(一1,0,4),垂直于平面Ⅱ:3x一4y-10=0,且与直线 平行的平面方程。

作者: tihaiku 人气: - 评论: 0
问题 试求通过点Mo(一1,0,4),垂直于平面Ⅱ:3x一4y-10=0,且与直线 平行的平面方程。
选项
答案
解析 平面Ⅱ的法向量m=(3-4,1),直线Z的方向向量l=(3,l,2),所以所求平面的法向

猜你喜欢

发表评论
更多 网友评论0 条评论)
暂无评论

Copyright © 2012-2014 恰考网 Inc. 保留所有权利。 Powered by tikuer.com

页面耗时0.0357秒, 内存占用1.04 MB, Cache:redis,访问数据库19次