针对初中数学“二元一次方程”的内容,完成下列任务。 (1)写出“二元一次方程”这节课的教学目标以及重难点。 (2)设计一个与二元一次方程有关的例题...

作者: tihaiku 人气: - 评论: 0
问题 针对初中数学“二元一次方程”的内容,完成下列任务。 (1)写出“二元一次方程”这节课的教学目标以及重难点。 (2)设计一个与二元一次方程有关的例题,并说明你的设计意图。 (3)举例写出几个适合本节课教学的教法和学法。
选项
答案
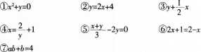
解析 (1)教学目标:①理解二元一次方程及二元一次方程的解的概念;②学会求出某二元一次方程的几个解和检验某对数值是否为二元一次方程的解;③学会把二元一次方程中的一个未知数用另一个未知数的一次式来表示;④在解决问题的过程中,渗透类比的思想方法,并渗透德育教育。 教学重点:二元一次方程的意义及二元一次方程的解的概念。 教学难点:把一个二元一次方程变形成用关于一个未知数的代数式表示另一个未知数的形式.其实质是解一个含有字母系数的方程。 (2)判断下列式子中哪些是二元一次方程. 设计意图:这一环节是本课设计的重点,为加深学生对“含有未知数的项的次数”的内涵的理解.我采取的是阅读书本中二元一次方程的概念,形成学生的认知冲突,激发学生对“项的次数”的思考,进而完善学生对二元一次方程概念的理解,通过学生自己举例子的活动去把“项的次数”形象化。在归纳二元一次方程特征的时候,引导学生理解“含有未知数的项的次数都是一次”实际上是说明方程的两边是整式。在判断的过程中,⑥②⑦是在书本的基础上补充的,②是让学生先认识这种形式,后面出现用关于一个未知数的代数式表示另一个未知数实际上是方程变形;⑥是方程两边都出现了x,强化概念里两个未知数是不一样的;⑦是再次理解“项的次数”。 (3)教法:情境教学法、比较教学法、阅读教学法。学法:阅读、比较、探究的学习方式。

相关内容:初中,数学,一次方程,内容,任务,这节,教学,目标,设计,有关,例题

猜你喜欢

发表评论
更多 网友评论0 条评论)
暂无评论

Copyright © 2012-2014 恰考网 Inc. 保留所有权利。 Powered by tikuer.com

页面耗时0.0748秒, 内存占用1.04 MB, Cache:redis,访问数据库14次