设,在x=0连续,且对任何x,y∈R有f(x﹢y)=f(x)﹢f(y) 证明:(1)f在R上连续;(2)f(x)=xf(1)。

作者: tihaiku 人气: - 评论: 0
问题 设,在x=0连续,且对任何x,y∈R有f(x﹢y)=f(x)﹢f(y) 证明:(1)f在R上连续;(2)f(x)=xf(1)。
选项
答案
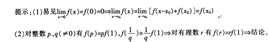
解析 (1)因f(0) =f(0+0)=f(0) +f(0) =2f(0),所以f(0)=0。又对任意算∈(一∞,+∞)有△y=f(x+△x) -f(x) =f(x) +f(△x) -f(x) =f(△x) (2)先证对任意有理数r,都有以rx)=rf(x)。事实上,令y=x,得以2x)=2f(x),由数学归纳法

猜你喜欢

发表评论
更多 网友评论0 条评论)
暂无评论

Copyright © 2012-2014 恰考网 Inc. 保留所有权利。 Powered by tikuer.com

页面耗时0.0487秒, 内存占用1.04 MB, Cache:redis,访问数据库19次