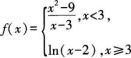
函数在x=3处的极限是( )A.不存在 B.等于6 C.等于3 D.等于0

作者: tihaiku 人气: - 评论: 0
问题 函数在x=3处的极限是( )
选项 A.不存在 B.等于6 C.等于3 D.等于0
答案 A
解析 分段函数在x=3处不是无限靠近同一个值,故不存在极限。

猜你喜欢

发表评论
更多 网友评论0 条评论)
暂无评论

Copyright © 2012-2014 恰考网 Inc. 保留所有权利。 Powered by tikuer.com

页面耗时0.0297秒, 内存占用1.04 MB, Cache:redis,访问数据库18次