案例:某教师在对根与系数关系综合运用教学时,给学生出了如下一道练习题: 设α、β是方程χ2一2kχ+k+6=0的两个实根,则(α-1)2+β-1)2的...

作者: tihaiku 人气: - 评论: 0
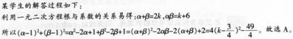
问题 案例:某教师在对根与系数关系综合运用教学时,给学生出了如下一道练习题: 设α、β是方程χ2一2kχ+k+6=0的两个实根,则(α-1)2+β-1)2的最小值是( )。 A.-49/4 B.8 C.18 D.不存在 问题:(1)指出该生解题过程中的错误,分析其错误原因;(6分) (2)给出你的正确解答;(7分) (3)指出你在解题时运用的数学思想方法。(7分)
选项
答案
解析

相关内容:案例,教师,系数,关系,综合,学时,学生,如下,一道,练习题,方程,两个,实根

猜你喜欢

发表评论
更多 网友评论0 条评论)
暂无评论

Copyright © 2012-2014 恰考网 Inc. 保留所有权利。 Powered by tikuer.com

页面耗时0.0324秒, 内存占用1.04 MB, Cache:redis,访问数据库19次