下列矩阵所对应的线性变换不是旋转变换的是( )。 A. B. C. D.

作者: tihaiku 人气: - 评论: 0
问题 下列矩阵所对应的线性变换不是旋转变换的是( )。 A. B. C. D.
选项
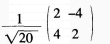
答案 A
解析 题目中选项B是0=0的时情况,选项{图}的情况,选项D是一般情况。而选项A是切变变化,平行亍x轴的切变为x’=x+y与y=γ

猜你喜欢

发表评论
更多 网友评论0 条评论)
暂无评论

Copyright © 2012-2014 恰考网 Inc. 保留所有权利。 Powered by tikuer.com

页面耗时0.0312秒, 内存占用1.03 MB, Cache:redis,访问数据库16次