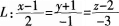
直线 与平面π:x+y+z=2的位置关系A、平行 B、相交但不垂直 C、垂直 D、直线f在平面上

作者: tihaiku 人气: - 评论: 0
问题 直线 与平面π:x+y+z=2的位置关系
选项 A、平行 B、相交但不垂直 C、垂直 D、直线f在平面上
答案 B
解析 由题意得:直线L的方向向量为m=(2,一l,一3),平面霄的法向量即=(1,1,1),易知m与,l不共线,且m·n#0,而直线l上的点(1,一l,2)在平面π上,故两者相交但不垂直。故选择B。

猜你喜欢

发表评论
更多 网友评论0 条评论)
暂无评论

Copyright © 2012-2014 恰考网 Inc. 保留所有权利。 Powered by tikuer.com

页面耗时0.0282秒, 内存占用1.04 MB, Cache:redis,访问数据库17次