已知方程表示的几何图形是椭圆,求出其短半轴与长半轴的长度。

作者: tihaiku 人气: - 评论: 0
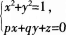
问题 已知方程表示的几何图形是椭圆,求出其短半轴与长半轴的长度。
选项
答案
解析 平面竹过坐标原点,椭圆的中心在坐标原点。设椭圆上任一点P(x,y,z),则原点0与P的距离r的最大、最小值即为椭圆的长半轴与短半轴长。

相关内容:方程,椭圆,求出,半轴,长度

猜你喜欢

发表评论
更多 网友评论0 条评论)
暂无评论

Copyright © 2012-2014 恰考网 Inc. 保留所有权利。 Powered by tikuer.com

页面耗时0.0273秒, 内存占用1.03 MB, Cache:redis,访问数据库13次