针对“一元二次议程”起始课的教学,两位老师给出了如下教学设计片段: 【教师甲】 设置问题:请同学们根据下列问题,只列出含未知数x的方程: (1)一个...

作者: tihaiku 人气: - 评论: 0
问题 针对“一元二次议程”起始课的教学,两位老师给出了如下教学设计片段: 【教师甲】 设置问题:请同学们根据下列问题,只列出含未知数x的方程: (1)一个正方形的面积为2,求正方形的边长x。 (2)长度为1的线段AB有一点C,且满足AC/AB=BC/AC,求线段AC的长x。 预设:学生会分别列出两个方程。 教师要求学生分别整理成方程左侧降幂排列,右侧为零的形式,然后引导学生完成下面两件事:对比”一元一次方程“的定义,为这类议程定义一个名称——一元二次方程。再请学生自行写出几个不同的一元二次议程,并提炼出一元二次方程的一般表达式。 【教师乙】 上课开始。提问:什么是“一元一次方程”?请你根据“一元一次方程”的定义,给出“一元二次方程”的定义,并举出几个“一元二次方程”的例子。在学生举例的基础上,提炼出“一元二次方程”的一般表达式。 请完成下列任务: (1)请分析两位老师引入“一元二次方程”概念设计方案的各自的特点。 (2)在教学中,当引入一个新的数学概念之后,往往通过例题、习题加深对概念的理解。请针对“一元二次方程”概念,设计不同难度的两道例题和两道习题,以加深学生对“一元二次方程”概念的理解。
选项
答案
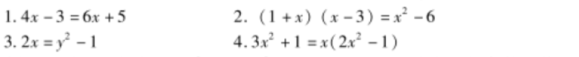
解析 (1)教学活动是师生积极参与、交往互动、共同发展的过程。有效的教学活动是学生学与教师教的统一,学生是学习的主体,教师是学习的组织者、引导者和合作者。数学教学活动应激发学生兴趣,调动学生积极性,引发学生思考,鼓励学生的创造性思维。在教学的过程中教师应注重培养学生良好的数学学习习惯,使学生掌握恰当的数学学习方法。也注重以学生的认知发展水平和已有的经验为基础,面向全体学生,采取启发式和因材施教的教学。学生在生动活泼的、主动的教学课堂中,更容易吸收知识,但也应注重多种学习方式相结合,除接受学习外,动手实践、自主探索与合作交流同样是学习数学的重要方式。 教师甲的做法非常符合素质教育的要求的,在教学中体现教师的组织者、引导者作用,学生的主体地位,在学生已有知识的基础上预设了正面的教学环境,先让学生利用已有的知识,列出相应的方程,再逐步引进新的教学内容,对比一元一次和一元二次方程的区别,进而引导学生总结出一元二次方程的概念,体现了螺旋上升课堂内容安排和预设与生成的要求,同时也充分地调动了学生学习的积极性和主动性,是非常好的课堂设计。 教师乙的做法相对教师甲来说,是有所欠缺的,没有给学生预设情境,直接让学生去生成一元二次方程的概念,加大了学生接受新知识的难度,同时还不利于学生对新知识的透彻理解,虽然体现了学生的主体地位,但是老师的引导作用没有充分发挥。 (2)概念的引入例子 引例1: 剪一块面积是150cm2的长方形铁片,使它的长比宽多5cm,这块铁片应如何剪? 设长方形宽为xcm,则有x(x+5)=150整理得x2+5x-150=0。 引例2: 学校图书馆去年年底有图书5万册,预计到明年年底有7.2万册,求这两年的平均增长率。 设这两年的平均增长率为x,则今年年底的图书数是5(1+x)万册,明年年底的图书数是5(1+x)(1+x)=5(1+x)2万册。 可列得方程5(1+x)2=7.2 概念的巩固例子 例子1: 下列方程都是整式方程吗?其中哪些是一元一次方程,哪些是一元二次方程? 例子2:关于x的方程mx2-3x=x2-mx+2是一元二次方程的条件是什么?

相关内容:议程,起始,教学,老师,如下,教学设计,片段,教师,问题,根据,未知数,方程

猜你喜欢

发表评论
更多 网友评论0 条评论)
暂无评论

Copyright © 2012-2014 恰考网 Inc. 保留所有权利。 Powered by tikuer.com

页面耗时0.0348秒, 内存占用1.05 MB, Cache:redis,访问数据库19次