作者: tihaiku 人气: - 评论: 0
问题
选项
答案
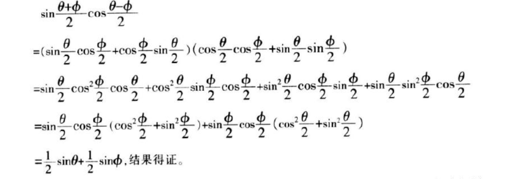
解析 (1)教师应该区别对待学生提出的问题。首先,要判断学生问题的价值,依据价值性大小给与回应。我们把与教学目标相关的问题都归为“正问题”,把偏离或背离教学目标的问题归为“负问题”。如本案例中学生的提问“能否从等式右边推导出等式左边”这一问题便是“正问题”,对待“正问题”应该给与积极回应。对学生提出的“负问题”,教师一方面可以启发引导,将其转化成“正问题”进行处理,一方面可以采取“冷处理”的办法。其次,要依据问题的内容灵活进行,如师生互动讨论或生生小组讨论,也可以让学生自行探究或课下解决。 (2)如果我是该教师我会将该问题作为一道思考题目,让学生进行小范围的讨论,最后对此三种解题方式进行分析总结。具体实施方式如下: 问题1:刚刚这位同学提出了一个很新颖的解题思路,那么我们可不可以从等式右边推导出等式左边呢?大家同桌之间讨论一下,可不可以,又是如何推导的呢? 我将在学生讨论的过程中,进行巡视并对有问题的学生加以指导,为了不耽误课堂进度,讨论时间初步预设为3分钟。 提问,请学生进行结果展示 提问:对比三种解决方法,各自的优点是什么?谈一谈你更倾向于用哪种方法解决问题? 引导学生共同总结:在解决三角函数公式证明题的时候,①合理的选择诱导公式以及和差化积公式非常的重要,如:方法三对于两角和差公式的反复运用,虽计算过程稍微复杂,但是方法更加的简单,容易想到。②能够灵活的运用整体代换的思想方法快速解决问题,如:方法一、方法二可以精简计算过程,避免计算出错。

相关内容:

猜你喜欢

发表评论
更多 网友评论0 条评论)
暂无评论

Copyright © 2012-2014 恰考网 Inc. 保留所有权利。 Powered by tikuer.com

页面耗时0.0366秒, 内存占用1.01 MB, Cache:redis,访问数据库18次