一天晚上,小刚开着电脑一边听音乐一边下载电影,但下载到50%时他睡着了,当他鹿来 时,发现还得下载睡着时下载的一半流量。他睡着时所下载的流量最电影的()。...

作者: rantiku 人气: - 评论: 0
问题 一天晚上,小刚开着电脑一边听音乐一边下载电影,但下载到50%时他睡着了,当他鹿来 时,发现还得下载睡着时下载的一半流量。他睡着时所下载的流量最电影的()。
选项
答案 B
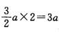
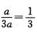
解析 假设小刚睡着时下载的流量为a,则当小刚醒来时还得下载,故整个电影的流量为,因此睡着时所下载的流量为整个电影的

猜你喜欢

发表评论
更多 网友评论0 条评论)
暂无评论

访问排行

Copyright © 2012-2014 恰考网 Inc. 保留所有权利。 Powered by tikuer.com

页面耗时0.0383秒, 内存占用1.03 MB, Cache:redis,访问数据库20次