如图所示,在△ABC中,AD是∠BAC的平分线,AD = 15,AC=12,CD=9,则点D到AB边的距离是( )。A. 12 B. 10C. 9...

作者: rantiku 人气: - 评论: 0
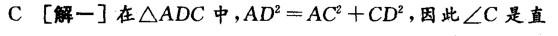
问题 如图所示,在△ABC中,AD是∠BAC的平分线,AD = 15,AC=12,CD=9,则点D到AB边的距离是( )。 A. 12 B. 10 C. 9 D.无法确定
选项
答案 C
解析
发表评论
更多 网友评论0 条评论)
暂无评论

访问排行

Copyright © 2012-2014 恰考网 Inc. 保留所有权利。 Powered by tikuer.com

页面耗时0.0283秒, 内存占用1.03 MB, Cache:redis,访问数据库17次