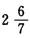
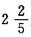
某工程,由甲乙两队承包,天可以完成,需支付1800元,由乙丙两队承包,天可以完成,需支付1500元,由甲丙两队承包,天可以完成,需支付1600元。问在保证...

作者: rantiku 人气: - 评论: 0
问题 某工程,由甲乙两队承包,天可以完成,需支付1800元,由乙丙两队承包,天可以完成,需支付1500元,由甲丙两队承包,天可以完成,需支付1600元。问在保证一星期内完成的提下,选择一个队单独承包的最少费用为多少?( ) A. 920 元 B. 1770 元 C. 2170 元 D. 1710 元
选项
答案 B
解析

猜你喜欢

发表评论
更多 网友评论0 条评论)
暂无评论

访问排行

Copyright © 2012-2014 恰考网 Inc. 保留所有权利。 Powered by tikuer.com

页面耗时0.0387秒, 内存占用1.03 MB, Cache:redis,访问数据库20次